Édito

Dans notre lettre d'information, comme en astronomie en général, plusieurs systèmes de temps peuvent être employés : UTC ou l'heure locale. UTC est l'acronyme pour le temps universel coordonné qui correspond à l'heure au méridien d'origine, historiquement le méridien de Greenwich. Ce système horaire correspond à la norme suivie dans le monde. Le temps « local » est le temps qui correspond à chaque fuseau horaire. Par exemple pour Paris c'est le TLF (Temps légal français) qui s’applique, soit : UTC + 1 h en hiver et UTC + 2 h en été. L’heure légale française est donnée par le LTE, vous pouvez la retrouver ici !

Ce mois-ci

L’occultation des Pléiades par la Lune le 4 décembre 2025... sous le regard d'Uranus

La mécanique céleste va nous offrir un très joli spectacle en ce début de mois : notre satellite naturel, la Lune, va en effet occulter l'amas ouvert des Pléiades. Cet évènement est une redite d'une première rencontre identique qui s’est produite le 1 er avril dernier ; il peut donc constituer une séance de rattrapage pour les lecteurs qui n'auraient pas assisté à la première représentation. Notons cependant que si le premier évènement s’est déroulé idéalement en début de nuit, la séance de rattrapage se présente sous des auspices moins favorables puisque le phénomène aura lieu cette fois en fin de la nuit du 3 au 4 décembre 2025. Il intéressera donc soit les couches-très-tard ou bien les lèves-tôt.

Si on ne présente plus la Lune régulièrement citée dans ces colonnes, on peut redire que les Pléiades sont constituées par une association d’environ 3 000 jeunes étoiles qui se sont formées ensemble il y a un peu plus de 100 millions d’années. Il s'agit d’un amas ouvert. Si cet âge peut paraître vénérable pour un humain, on rappellera que le Soleil a déjà vécu un peu plus de 5 milliards d’années et qu’il lui en reste autant à vivre. Cet amas appartient bien sûr à notre Galaxie ; il est situé dans le bras d’Orion, à environ 440 années-lumière du Soleil. L’amas couvre environ 2° dans le ciel (4 x le diamètre lunaire) et un œil humain peut distinguer entre 7 et 12 étoiles pour les plus aguerris. Point n’est besoin d’un gros télescope pour admirer ce bijou stellaire : les Pléiades sont absolument splendides dans une simple paire de jumelles.

Que verra-t-on ?

Notons tout d'abord que l’on ne mettra pas longtemps pour trouver la Lune puisque nous serons au lendemain de la pleine Lune. Cette dernière sera donc quasiment ronde et surtout encore très brillante.

Le phénomène débutera aux alentours de 4 h 30 TLF, heure à laquelle la Lune va éclipser Electra, et il se terminera vers 6 h 10 TLF avec un passage rasant de l’étoile la plus brillante des Pléiades, Alcyone.

Au début du phénomène, les deux astres seront à rechercher assez haut dans le ciel, environ 35° au-dessus de l’horizon ouest.

Configuration du rapprochement de la Lune avec les Pléiades le 4 décembre 2025 vers 4h15 TLF
Configuration du rapprochement de la Lune avec les Pléiades le 4 décembre 2025 vers 4 h 15 TLF. Crédits Stellarium
Configuration du rapprochement de la Lune avec les Pléiades le 4 décembre 2025 vers 6h15 TLF
Configuration du rapprochement de la Lune avec les Pléiades le 4 décembre 2025 vers 6 h 15 TLF. Crédits Stellarium

Pour l'observation du phénomène, comme pour la rencontre d'avril, rappelons que s'il sera bien sûr observable à l’œil nu, il sera beaucoup plus intéressant et esthétique à observer dans des petits instruments : jumelles ou petite lunette astronomique seront idéales car offrant un champ large permettant d’admirer le lent rapprochement. L’évènement étant relativement long, il sera plus aisé et confortable si les jumelles sont installées sur un pied. De même, pour l’occultation des étoiles principales, un instrument – lunette ou petit télescope – sur une monture est souhaitable, car bien plus stable et permettant un suivi, qui, même s’il est manuel, sera suffisant. Le phénomène durant deux heures, un observateur aura tout le loisir, s'il est équipé d'un instrument stable, d’aller admirer la septième planète de notre Système solaire, Uranus, à quelques encablures (voir ci-après).

Le phénomène ravira les astrophotographes qui auront l’occasion de multiplier les très beaux clichés que ce soit avec des téléobjectifs (image grand champ) ou au foyer de leur lunette ou télescopes (image resserrée).

Observer la planète Uranus sous les Pléiades

Photo d'Uranus, prise le 11 novembre 2025 à Chazeuil dans la Nièvre (58)
Photo d'Uranus, prise le 11 novembre 2025 à Chazeuil dans la Nièvre (58). Crédits Pierre Chancy
Photo d'Uranus, prise le 11 novembre 2025 à Chazeuil dans la Nièvre (58)
Photo d'Uranus, prise le 11 novembre 2025 à Chazeuil dans la Nièvre (58). Crédits Pierre Chancy

La planète Uranus, est un objet fascinant pour l'amateur d’objets planétaires lointains. Petite sœur des planètes géantes Jupiter et Saturne qui orbitent devant elle, elle est, contrairement à ses devancières, trop éloignée pour être accessible à l’œil nu. Pourtant, un heureux hasard va permettre en décembre 2025, mais aussi au cours de l’hiver qui vient, de la trouver très facilement.

La planète Uranus est située en moyenne à 2,87 milliards de km du Soleil, dont elle fait un tour en 84 ans. Cette distance la place en septième et avant dernière position par ordre d'éloignement. C'est aussi la troisième des quatre planètes gazeuses. Comme ses sœurs, elle est constituée essentiellement d’hydrogène (83 %) et d’hélium (15 %), la particularité – et la différence – par rapport à Jupiter et Saturne étant l'existence d’une petite quantité (2,3 %) de méthane.

Avec une magnitude de 5,6 au cours de ce mois de décembre 2025, elle est normalement accessible à l’œil nu. Mais il faut un ciel parfait pour atteindre une magnitude si proche de la limite théorique de 6 de l’œil humain. Des petites optiques, type chercheur 6x30, 8x40, ou mieux encore 9x50 ou jumelles 10x50 sont cependant suffisantes pour la distinguer, toujours sous la forme d’une simple étoile.

Au cours des 30 dernières années, sa recherche n'était pas aisée. Au tournant du siècle, elle était basse sur l'horizon et perdue dans le fourmillement d’étoiles de la Voie lactée : en 1990, elle était dans le Sagittaire, puis dans les champs pauvres avec peu d’étoiles repères du Capricorne en 2000 et des Poissons en 2010 où elle a passé l'équateur céleste pour rejoindre l'hémisphère céleste nord. Elle est donc de plus en plus haute au-dessus de l'horizon. Les deux décennies à venir vont la voir se déplacer sur la portion la plus haute de l’écliptique. Elle est actuellement dans le Taureau puis passera dans les Gémeaux en 2032, point culminant de l’écliptique, avec de nombreuses étoiles repères brillantes, autant dire une période radieuse pour son observation.

En décembre 2025, elle bénéficie de voisines célèbres qui vont grandement faciliter sa localisation : elle est située à l'ouest de l’amas des Hyades et 4,5° en dessous du célèbre amas des Pléiades.

Position d'Uranus sous les Pléiades le 15 décembre 2025
Position d'Uranus sous les Pléiades le 15 décembre 2025 Crédits Stellarium

Et comme un bonheur n'arrive jamais seul, le hasard a voulu que pour nous aider encore plus, Uranus le Dieu du ciel, décide de placer sa planète tout près de deux étoiles qui ont quasiment le même éclat qu’elle, à savoir 13 Tau (mag. 5,65) et 14 Tau (mag. 6,10). L’ensemble dessinant un joli petit triangle aplati.

Uranus forme un petit  triangle rectangle aplati le 15 décembre 2025 avec les deux étoiles 13 et 14 du Taureau. Elle est située en bas à gauche du triangle.
Uranus forme un petit triangle rectangle aplati le 15 décembre 2025 avec les deux étoiles 13 et 14 du Taureau. Elle est située en bas à gauche du triangle. Crédits Stellarium

Si elle est très facile à localiser, Uranus n'est pas une planète qui se dévoile à l’observation. Avec un diamètre de 3,8" d'arc, il faut un grossissement d’au moins 80 fois pour constater que ce que l’on prenait pour une étoile aux jumelles est en fait un disque minuscule. Pour en voir plus, il faut soit un gros télescope (200 à 300 mm de diamètre), bien collimaté, soit une excellente lunette (100 à 150 mm) de type apochromatique. Ces instruments vont permettre des grossissements plus importants mais aussi et surtout de montrer la couleur vert foncé de la planète. Il ne faudra malheureusement pas en espérer plus car contrairement à Jupiter, la surface de la planète Uranus n’est pas aussi agitée. Elle ne montre donc que très peu de détails, et ces derniers, du fait de la distance, sont totalement inaccessibles visuellement.

Le Solstice d'hiver du 21 décembre

Les dates des solstices et des équinoxes pour 2025
Les dates des solstices et des équinoxes pour 2025. Crédits LTE

Cette année, le solstice d’hiver tombe le samedi 21 décembre à 15 h 03 min 05 s UTC, soit à 16 h 03 min 05 s en Temps légal français (TLF).

Avez-vous déjà observé que le point le plus haut qu’atteint le Soleil dans la journée n’a pas toujours la même hauteur dans le ciel selon la période de l’année ? Qu’il est plus haut en été et plus bas en hiver ?

Peut-être avez-vous aussi déjà constaté que le Soleil ne se lève pas toujours dans la même direction selon les jours et qu’il en est de même pour son coucher ?

Le point de bascule, ou la limite à ce mouvement apparent, est le solstice, qu’il soit d’été ou d’hiver.

Dans l’hémisphère nord, sous nos latitudes, à la date du solstice d’hiver, le Soleil se lève le plus au sud-est et il se couche le plus au sud-ouest.

C’est également la date à laquelle, toujours sous nos latitudes, la durée de la nuit est maximale et la durée du jour est minimale. Le phénomène est le même, mais inversé pour l’hémisphère sud : au solstice d’hiver, la durée du jour y est maximale.

Pour aller plus loin

Les dates des équinoxes et des solstices, et donc les débuts des saisons astronomiques, sont les instants pour lesquels la longitude écliptique géocentrique apparente du Soleil (incluant les effets de l’aberration et du mouvement du pôle) est un multiple entier de 90°.

Dans l’hémisphère nord :

  • Le printemps débute à l’instant auquel la longitude planétocentrique apparente du centre du Soleil est égale à 0° (équinoxe de printemps) ;
  • L’été débute à l’instant auquel la longitude planétocentrique apparente du centre du Soleil est égale à 90° (solstice d’été) ;
  • L’automne débute à l’instant auquel la longitude planétocentrique apparente du centre du Soleil est égale à 180° (équinoxe d’automne) ;
  • L’hiver débute à l’instant auquel la longitude planétocentrique apparente du centre du Soleil est égale à 270° (solstice d’hiver).

Dans l’hémisphère sud, les solstices et les équinoxes sont à l’opposé de ceux de l’hémisphère nord.

À l'instant du solstice d’hiver la déclinaison géocentrique apparente du centre du Soleil est proche à son minima (-23° 26′ 17,67″). Dans l’hémisphère nord, cette date marque le début de l’hiver. C’est la date où, sous nos latitudes, le Soleil se lève le plus au sud-est (son amplitude ortive est maximum) et se couche le plus au sud-ouest (son amplitude occase est maximum).

C’est également la date où, sous nos latitudes, la durée de la nuit est maximale et la durée du jour est minimale. À partir du solstice d’hiver, les jours recommencent à croître, mais pas de manière symétrique le matin et le soir.

En effet nous utilisons comme échelle de temps un Soleil moyen, ainsi le Soleil continue de se lever en temps moyen de plus en plus tard même après le solstice (jusqu’au 2 janvier). En début de mois de décembre, l’heure du coucher du Soleil décroît jusqu’au 13 décembre puis se met à croître.

Le terme solstice vient du latin solstitium (de sol « soleil » et sistere « s’arrêter, retenir »), car l’azimut du Soleil à son lever et à son coucher semble rester stationnaire pendant quelques jours à ces périodes de l’année, avant de se rapprocher à nouveau de l’est au lever et de l’ouest au coucher.

À l’instant du solstice d’hiver, le Soleil entre dans le signe astrologique du Capricorne, mais pas dans la constellation (astronomique) éponyme ; l’entrée dans le signe du Capricorne correspond à une longitude apparente du Soleil de 270° or à ce moment-là, le Soleil se trouve dans la constellation du Sagittaire depuis le 18 décembre et jusqu’au 20 janvier 2026, date à laquelle il entre dans la constellation du Capricorne.

Le jour du solstice d’hiver correspond au début de l’été dans l’hémisphère sud, le Soleil passe alors au zénith pour un observateur de l’hémisphère sud situé sur le tropique ; ce qui explique l’origine de son nom : le tropique du Capricorne.

Notre calendrier, le calendrier grégorien, est un calendrier solaire. Il a pour but d’éviter la dérive des dates des saisons. La durée des saisons variant sur de grandes périodes de temps, il est impossible de maintenir fixes les dates des saisons, tout au plus est-on capable d’éviter leurs dérives.

science en direct

Lancement réussi pour le satellite altimétrique Sentinel conçu pour la surveillance des océans

Séparation lors du lancement du satellite Sentinel 6B.
Séparation lors du lancement du satellite Sentinel 6B. Crédits © NASA, 2025

L’altimétrie satellitaire revêt une nouvelle importance au début des années 1980, quand la communauté scientifique internationale prend conscience qu’océan et climat sont intrinsèquement liés, et que la hausse du niveau des mers se révèle être un indicateur clé du réchauffement climatique.

Le principe de base des satellites altimétriques est de mesurer la distance entre le satellite et la surface-cible (océans ou eaux continentales de surface) en mesurant la durée aller-retour d’une impulsion radar.

Cependant, il ne s’agit pas de la seule mesure effectuée par l’altimètre et d’autres informations intéressantes en sont issues : l’amplitude et la forme des échos (ou formes d’onde) contiennent également des informations sur les caractéristiques de cette surface-cible (e. g. hauteurs significatives des vagues).

L’élévation du niveau de la mer est en moyenne de 3.6 mm/an (11 cm depuis 1993) à l’échelle mondiale et traduit des effets environnementaux et climatiques de grande ampleur, comme la fonte des glaciers et des calottes glaciaires. Il existe également des preuves que le rythme de l’élévation du niveau de la mer s’accélère. D’après les données altimétriques, cette accélération est estimée à 1.2 mm par an et par décennie. Concrètement, cela signifie que le taux d’élévation du niveau de la mer a doublé entre la décennie 1993-2003 (2.1 mm/an) et la décennie 2013-2023 (4.4 mm/an).

Le 21 novembre 2020, le premier des satellites Sentinel-6 (Michael Freilich) a été lancé, série de satellites dédiés à la continuité des mesures altimétriques et climatiques, prenant le relais de l’emblématique série de satellites altimétriques Topex/Jason (1992-2021).

Cinq ans plus tard conformément au programme Copernicus, son successeur Sentinel-6B a été lancé le 16 novembre à 21h21 heure locale depuis la base de Vandenberg Space Force Base aux États-Unis.

Après la phase d’étalonnage et de validation qui devrait durer 12 mois, Sentinel-6B deviendra la nouvelle mission de référence altimétrique à la place de Sentinel-6A, et prolongera sa mission au service de la communauté scientifique et des applications opérationnelles.

Cette communauté scientifique internationale en altimétrie s’est constituée depuis les années 90 et réunit aujourd’hui près de 350 membres au travers de l’Ocean Surface Topography Science Team co-présidée par Pascal Bonnefond, chercheur au LTE.

Pascal Bonnefond est également référent scientifique des projets pour le CNES en ce qui concerne les missions d’altimétrie satellitaire.

Le laboratoire LTE contribue aussi à l’altimétrie satellitaire en traitant les observations obtenues par les techniques de géodésie spatiale (systèmes de positionnement GNSS et DORIS, télémétrie laser sur les satellites artificiels et sur la Lune et interférométrie radio à très longue base sur les radiosources extragalactiques (VLBI)), en partie dans le cadre du Service de la rotation de la Terre et IERS (International Earth rotation and Reference systems Service) et du centre d’analyse et de données VLBI, composante de l’IVS (International VLBI Service for geodesy and astrometry).

Quelques questions à Ashley Beguin qui a rejoint le LTE et l'équipe des fréquences optiques !

Vous venez de rejoindre le LTE, quel est votre parcours ?

J’ai fait un master de physique fondamentale à Toulouse, puis ma thèse au LCAR à Toulouse en interférométrie atomique. J’ai ensuite réalisé un postdoctorat de 2 ans à Stanford, également en interférométrie atomique, et depuis octobre 2025, j’ai rejoint l’équipe Mercure dans le groupe fréquences optiques sur un poste de chargée de recherche au CNRS.

L’interférométrie atomique est une méthode qui repose sur la manipulation cohérente d’ondes de matière permettant la séparation et la recombinaison d’états atomiques à l’aide d’impulsions lumineuses. Ces instruments permettent la réalisation de capteurs inertiels de grande sensibilité mais également des mesures de constantes fondamentales ou encore des tests de physique fondamentale.

Ce changement de sujet de la thèse à ce poste est intéressant de votre point de vue ?

Ce changement est enrichissant, car il me permet d’approfondir mon expertise tout en restant dans la continuité de mon parcours. Issue du domaine de l’interférométrie atomique, où je travaillais sur la manipulation d’atomes froids et des systèmes expérimentaux de haute précision, je retrouve dans les horloges atomiques un domaine naturellement proche, mais qui offre un nouveau champ d’applications et de perspectives scientifiques.

Pouvez-vous nous en dire plus sur ce que fait l’équipe dans laquelle vous êtes ?

L’équipe FOP développe une horloge atomique de mercure dans le contexte de la redéfinition de la seconde à partir de transitions optiques. Une des motivations principales pour l’utilisation du mercure est sa faible sensibilité au rayonnement thermique et aux champs électriques parasites. Il présente également une sensibilité intéressante pour les tests de stabilité des constantes et la recherche de matière noire. Le mercure présente néanmoins des défis expérimentaux, notamment en raison des longueurs d’onde UV requises.

Et vous, que faites-vous ?

Je travaille avec deux collègues (Sébastien Bize, le chef d’équipe et Thomas Lauprêtre, un autre chercheur permanent) sur l’expérience de mercure. Nous assurons le bon fonctionnement de l’expérience, mettons en œuvre de nouveaux développements expérimentaux et réalisons des simulations numériques pour améliorer la transition de l’horloge. Chaque jeudi, nous nous réunissons avec les autres équipes du groupe « fréquences optiques ». Des campagnes de comparaisons sont également prévues à l’échelle nationale et internationale.

Qu’est ce qui vous intéresse dans cette recherche ?

Ce qui m’intéresse dans la recherche sur les horloges atomiques, c’est la métrologie de haute précision. J’apprécie à la fois les applications pratiques pour la synchronisation de systèmes nécessitant un temps très précis, mais également les aspects plus fondamentaux, qui permettent de tester les lois de la physique.

Séminaires & conférences

  • Histoire des sciences astronomiques

    Mardi 9 Décembre 2025 – 14 h 00

    Un des plus beaux instruments d’astronomie : le grand cercle astronomique de l’Observatoire de Palerme

    Ileana Chinnici

    Salle du Conseil, Observatoire de Paris, 77 avenue Denfert-Rochereau, 75014 Paris

    Dans le cadre du plan Vigipirate, merci aux extérieurs à l’Observatoire de Paris de bien vouloir s’inscrire à l’avance sur ce formulaire .

  • Mardi 9 Décembre 2025 – 15 h 00

    Understanding and improving the telescope in the early seventeenth century

    Tiemen Cocquyt (Rijksmuseum Boerhaave Leiden and Utrecht University)

    Salle du Conseil, Observatoire de Paris, 77 avenue Denfert-Rochereau, 75014 Paris

    Dans le cadre du plan Vigipirate, merci aux extérieurs à l’Observatoire de Paris de bien vouloir s’inscrire à l’avance sur ce formulaire .

  • Bureau des longitudes

    Mercredi 3 Décembre 2025 – 14 h 30

    À la recherche de trous noirs avec la mission Gaia

    Pasquale Panuzzo (CNRS, UNIDIA/Observatoire de Paris, Université PSL)

    École normale supérieure, salle Jaurès, 29 rue d’Ulm, 75005 Paris

    Entrée libre. Renseignements par téléphone au 06 11 27 71 83
    ou par mail à l’adresse renseignements@bureau-des-longitudes. fr

    Mercredi 7 Janvier 2026 – 14 h 30

    Florilège de résultats avec le télescope spatial JWST

    Pierre-Olivier Lagage (CEA)

    École normale supérieure, salle Dussane, 45 rue d’Ulm, 75005 Paris

    Entrée libre. Renseignements par téléphone au 06 11 27 71 83
    ou par mail à l’adresse renseignements@bureau-des-longitudes.fr

  • Grand public

    Jeudi 11 Décembre 2025 – 14 h 30

    La Lune entre science et croyances

    Jean-Eudes Arlot (Laboratoire Temps Espace)

    Maintenon, Centre Universitaire du Temps Libre, salle Maurice Leblond

    Pour plus d'informations sur le lieu .

culture astronomique

À la mesure du temps, épisode 9

Statue du cimetière monumental de la chartreuse de Bologne
Statue du cimetière monumental de la chartreuse de Bologne. Crédits L. Boccardo (Unsplash)

La mesure du temps a toujours été une préoccupation des hommes depuis qu’ils ont pris conscience de son écoulement.

Lire le 9 e épisode : « Temps mesurés, temps démesurés – VI »

Cette mesure a très vite permis d’organiser la société. Pour cela, les hommes ont créé des dispositifs de plus en plus ingénieux pour mesurer le temps à l’aide de phénomènes physiques bien choisis. Les liens entre la mesure du temps et l’astronomie sont d’ailleurs des plus anciens. C’est pour cette raison que la mesure du temps et la mesure de l’espace ont souvent été regroupées dans les observatoires astronomiques. Et cette intrication de l’espace et du temps est encore plus prégnante dans le cadre de la théorie de la relativité d’Einstein. Ce feuilleton est donc dédié à la mesure du temps, à la suite de celui consacré à la mesure du ciel.

La Connaissance des temps 2026 vient de paraître

Première de couverture de la Connaissance des temps 2026.
Première de couverture de la Connaissance des temps 2026. Crédits LTE

Cet ouvrage d’éphémérides est destiné aux astronomes, aux enseignants et aux étudiants.

  • Le cœur de cet ouvrage présente, pour l’année en cours, les éphémérides tabulées du Temps sidéral, des variables liées aux nouveaux paradigmes de l’Union astronomique internationale sur les systèmes de référence et les coordonnées du Soleil, de la Lune et des planètes, de Pluton, Cérès, Pallas, Junon et Vesta ; il fournit également les quantités nécessaires au calcul des positions des satellites de Mars, des satellites galiléens de Jupiter, des huit premiers satellites de Saturne et des cinq principaux satellites d’Uranus.
  • Un chapitre explicatif fournit les informations théoriques permettant de faire les calculs par soi-même ou d’utiliser le logiciel accompagnant l’ouvrage.
  • Ce volume est le 348 e d’une éphéméride créée en 1679 qui a paru sans interruption depuis sa création. Ancienne par sa conception, mais toujours moderne dans sa réalisation, la version actuelle s’appuie sur une partie des récents développements méthodologiques menés à l’IMCCE.

Voir la table des matières.

  • Format : 17 × 24 cm – 184 pages
  • Éditeur : LTE
  • ISSN : 2259-4191
  • ISBN : 978-10-980094-0-2

Cet ouvrage est disponible gratuitement en version pdf : télécharger l’ouvrage .

Il sera bientôt disponible en version papier à la demande sur le site de la librairie BoD.

Un logiciel de calcul d’éphémérides accompagne l’ouvrage :

en savoir plus

Nous étions à Explor'Espace !

Atelier des petits corps
Atelier des petits corps. Crédits LTE

Du 7 au 9 novembre 2025, l’Association Française d’Astronomie (AFA) a organisé, comme elle le fait tous les deux ans, le festival Explor’Espace à Montrouge. Le LTE était présent avec un nouvel atelier sur le stand de l’Observatoire de Paris.

L’atelier que nous proposions était composé de 7 petits corps du système solaire à savoir : Phobos et Déimos les deux satellites de Mars, Daphnis et Calypso deux des satellites de Saturne, l’astéroïde Eros et les deux célèbres comètes Tchouri et Halley.

Chacun des corps était imprimé en 3 D et pouvait être manipulé par les visiteurs qui ont pu voir et toucher les aspérités de la surface de Phobos et Tchouri pour ceux que l’on connait le mieux grâce aux sondes spatiales qui les ont visités.

Ces corps sont imprimés en taille relative les uns par rapport aux autres et 1 cm ici correspond à 1 km dans l’espace. Pour se donner une idée, si nous avions imprimé la Lune elle aurait mesuré 35 m ! Il s’agissait donc bien de petits corps.

Les discussions ont été aussi diverses que les personnes qui sont venues parler avec nous, et nous reviendrons avec plaisir dans deux ans.

En attendant, le prochain rendez-vous est celui des Rencontres Ciel et Espace , organisées aussi par l’AFA, en novembre 2026 à la Cité des sciences de la Villette.

Nous espérons vous y voir nombreux !

Astro en images

Kallichore, une petite lune attendant son heure de gloire ?

Si ce nom ne vous dit rien, c’est probablement normal. Kallichore est l’une des petites lunes éloignées de Jupiter, découverte en 2003 par l’astronome américain Scott S. Sheppard. D’une taille hypothétique d’un ou deux kilomètres, cette lune aurait pu passer inaperçu. Mais son orbite devrait croiser celle de la sonde européenne Juice (ESA), à la fin de l’année 2031, rendant ouverte la question d’un possible survol à courte distance.

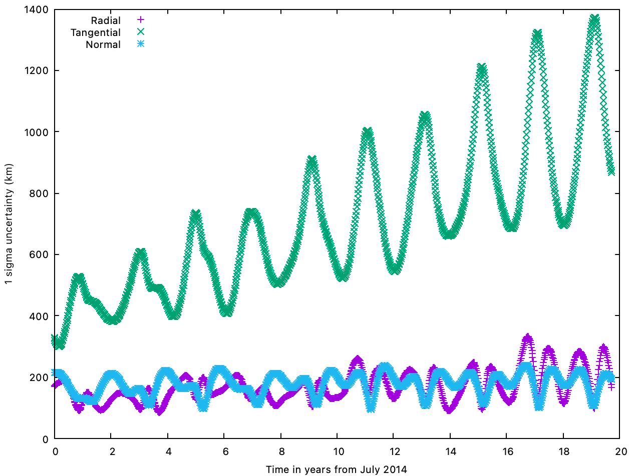
Pour que l’opération réussisse, il faudrait toutefois que l’éphéméride de Kallichore soit très bien connue (idéalement à une ou deux dizaines de kilomètres de précision). Son incertitude actuelle calculée par le Service Espace de l’Observatoire de Paris (SE-OP) est pourtant bien plus élevée, s’élevant à six cents kilomètres aujourd’hui, et plus de mille kilomètres au moment du survol.

Une campagne d’observation est en cours pour tenter d’observer Kallichore, avec pour objectif d’améliorer son éphéméride. Il reste encore plusieurs années avant le survol éventuel par la sonde Juice. De quoi faire mûrir l’espoir de rendre cette rencontre céleste inattendue… possible.

Incertitude actuelle de l’éphéméride de Kallichore (1 sigma), à compter du 01/01/2014. La courbe violette représente l’incertitude sur la distance Jupiter / Kallichore, la courbe verte sur la position de Kallichore le long de son orbite, et la courbe bleu clair celle sur sa position projetée orthogonalement à son orbite
Incertitude actuelle de l’éphéméride de Kallichore (1 sigma), à compter du 1er janvier 2014. La courbe violette représente l’incertitude sur la distance Jupiter / Kallichore, la courbe verte sur la position de Kallichore le long de son orbite, et la courbe bleu clair celle sur sa position projetée orthogonalement à son orbite. Crédits Valéry Lainey
Image de Kallichore, prise au Pic du Midi
Image de Kallichore, prise au Pic du Midi. Crédits François Colas

ciel du mois

Phénomènes astronomiques

Repère géocentrique, les quadratures et les conjonctions sont en ascension droite.
Les phénomènes sont donnés en temps légal français.

4 décembre

1 h 56 min 40 s Élongation minimale entre la Lune et Uranus, élongation : 5° 01,94′, élongation de la Lune au Soleil : 167° E.

12 h 07 min 28 s Lune au périgée, distance à la Terre : 356 963 km, diamètre apparent de la Lune : 33,46′.

5 décembre

0 h 14 min 05 s Pleine lune.

22 h 43 min 05 s Déclinaison maximale de la Lune : + 28° 16′.

7 décembre

18 h 11 min 33 s Élongation minimale entre la Lune et Jupiter, élongation : 3° 36,90′, élongation de la Lune au Soleil : 142° O.

22 h 02 min 54 s Mercure en plus grande élongation : 20° 44′ O.

10 décembre

21 h 09 min 46 s Neptune est stationnaire dans la constellation des Poissons.

11 décembre

21 h 51 min 41 s Dernier quartier de lune.

17 décembre

5 h 33 min 33 s Saturne est en quadrature avec le Soleil.

7 h 09 min 06 s Lune à l'apogée, distance à la Terre : 406 322 km, diamètre apparent de la Lune : 29,40′.

18 décembre

11 h 06 min 35 s Élongation minimale entre la Lune et Mercure, élongation : 6° 05,41′, élongation de la Lune au Soleil : 18° O.

19 décembre

17 h 34 min 20 s Élongation minimale entre la Lune et Vénus, élongation : 4° 52,40′, élongation de la Lune au Soleil : 4° O.

20 décembre

0 h 06 min 58 s Déclinaison minimale de la Lune : − 28° 14′.

2 h 43 min 21 s Nouvelle lune.

13 h 59 min 56 s Élongation minimale entre la Lune et Mars, élongation : 3° 49,39′, élongation de la Lune au Soleil : 5° E.

21 décembre

16 h 03 min 05 s Solstice d'hiver

27 décembre

1 h 08 min 35 s Élongation minimale entre la Lune et Saturne, élongation : 3° 32,89′, élongation de la Lune au Soleil : 80° E.

7 h 37 min 12 s Élongation minimale entre la Lune et Neptune, élongation : 2° 54,83′, élongation de la Lune au Soleil : 84° E.

20 h 09 min 51 s Premier quartier de lune.

31 décembre

10 h 46 min 25 s Élongation minimale entre la Lune et Uranus, élongation : 5° 07,81′, élongation de la Lune au Soleil : 138° E.

Visibilité de la Lune et des planètes

Planètes visibles entre les latitudes 60° Nord et 60° Sud et les constellations voisines. L’aspect apparent des planètes est calculé pour le 16 décembre 2025 à 22 h 00 UTC.

Le nombre d’étoile indique un score de visibilité de la planète pendant les nuits du mois. Chaque nuit où l’élongation Soleil - Planète est suffisamment grande augmente le score de visibilité. Pour Mercure, on utilise l’arcus-visionis à la place de l’élongation au Soleil.

  • La Lune

    PL 4.12
    DQ 11.12
    NL 20.12
    PQ 27.12
    non-visibilité 19/12 > 21/12
    Calculer les phases de la Lune
    Trajectoire de la Lune en décembre 2025
    Trajectoire de la Lune au cours du mois de décembre 2025. Crédits LTE
  • Mercure

    œil visible
    jumelles visible
    télescope visible

    Diamètre apparent 5.6″

    Magnitude − 0.5

    Calculer les phases de Mercure
    Mercure le 16 décembre 2025
    Mercure le 16 décembre 2025. Crédits LTE
    Trajectoire de Mercure au cours du mois de décembre 2025
    Trajectoire de Mercure au cours du mois de décembre 2025. Crédits LTE
  • Vénus

    œil non visible
    jumelles non visible
    télescope non visible

    Diamètre apparent 9.8″

    Magnitude − 3.9

    Calculer les phases de Vénus
    Vénus le 16 décembre 2025
    Vénus le 16 décembre 2025. Crédits LTE
    Trajectoire de Vénus au cours du mois de décembre 2025
    Trajectoire de Vénus au cours du mois de décembre 2025. Crédits LTE
  • Mars

    œil non visible
    jumelles non visible
    télescope non visible

    Diamètre apparent 3.9″

    Magnitude 1.3

    Calculer les éphémérides de Mars
    Mars le 16 décembre 2025
    Mars le 16 décembre 2025. Crédits LTE
    Trajectoire de Mars au cours du mois de décembre 2025
    Trajectoire de Mars au cours du mois de décembre 2025. Crédits LTE
  • Jupiter

    œil visible
    jumelles visible
    télescope visible

    Diamètre apparent 45.7″

    Magnitude − 2.6

    Calculer les éphémérides de Jupiter
    Jupiter le 16 décembre 2025
    Jupiter le 16 décembre 2025. Crédits LTE
    Trajectoire de Jupiter au cours du mois de décembre 2025
    Trajectoire de Jupiter au cours du mois de décembre 2025. Crédits LTE
  • Saturne

    œil visible
    jumelles visible
    télescope visible

    Diamètre apparent 17.6″

    Magnitude 1.0

    Calculer les éphémérides de Saturne
    Saturne le 16 décembre 2025
    Saturne le 16 décembre 2025. Crédits LTE
    Trajectoire de Saturne au cours du mois de décembre 2025
    Trajectoire de Saturne au cours du mois de décembre 2025. Crédits LTE
  • Uranus

    œil non visible
    jumelles visible
    télescope visible

    Diamètre apparent 3.8″

    Magnitude 5.6

    Calculer les éphémérides d'Uranus
    Uranus le 16 décembre 2025
    Uranus le 16 décembre 2025. Crédits LTE
    Trajectoire de Uranus au cours du mois de décembre 2025
    Trajectoire de Uranus au cours du mois de décembre 2025. Crédits LTE
  • Neptune

    œil non visible
    jumelles visible
    télescope visible

    Diamètre apparent 2.3″

    Magnitude 7.9

    Calculer les éphémérides de Neptune
    Neptune le 16 décembre 2025
    Neptune le 16 décembre 2025. Crédits LTE
    Trajectoire de Neptune au cours du mois de décembre 2025
    Trajectoire de Neptune au cours du mois de décembre 2025. Crédits LTE

Cartes du ciel

Cartes du ciel des étoiles brillantes et des planètes visibles dans le ciel de l’hémisphère nord et de l’hémisphère sud, vers l’horizon nord et l’horizon sud, pour le 15 décembre 2025.

  • Hémisphère nord, en direction du nord – 23 h temps légal français (UTC + 1 h)

    Carte du ciel de l’hémisphère nord, en direction du nord, au 15 décembre 2025
    Carte du ciel de l’hémisphère nord, en direction du nord. Crédits LTE
  • Hémisphère nord, en direction du sud – 23 h temps légal français (UTC + 1 h)

    Carte du ciel de l’hémisphère nord, en direction du sud, au 15 décembre 2025
    Carte du ciel de l’hémisphère nord, en direction du sud. Crédits LTE
  • Hémisphère sud, en direction du nord – 23 h temps local à La Réunion (UTC + 4 h)

    Carte du ciel de l’hémisphère sud, en direction du nord, au 15 décembre 2025
    Carte du ciel de l’hémisphère sud, en direction du nord. Crédits LTE
  • Hémisphère sud, en direction du sud – 23 h temps local à La Réunion (UTC + 4 h)

    Carte du ciel de l’hémisphère sud, en direction du sud, au 15 décembre 2025
    Carte du ciel de l’hémisphère sud, en direction du sud. Crédits LTE
  • Vue dans le plan de l’écliptique

    Dans sa course apparente sur l’écliptique, le Soleil est accompagné de plusieurs planètes proches. Celles qui sont à l’est peuvent être observées au coucher du Soleil et en début de nuit selon leur élongation et leur magnitude, celles qui sont à l’ouest le seront en fin de nuit et au lever du Soleil sous les mêmes conditions. La figure suivante montre la configuration au 15 décembre 2025.

    Position de la Lune et des planètes dans le plan de l’écliptique au 15 décembre 2025
    Position de la Lune et des planètes dans le plan de l’écliptique au 15 décembre 2025. Crédits LTE
    Déplacement de la Lune et des planètes dans le plan de l’écliptique en décembre 2025. Crédits LTE
  • Positions héliocentriques des planètes

    Les figures suivantes montrent la configuration dans le plan de l’écliptique au 15 décembre 2025. Sur chaque orbite des planètes intérieures, l’intersection du segment et de l’orbite marque la position de la planète au premier jour du mois, et l’extrémité de la flèche marque celle au dernier jour du mois.

    Positions héliocentriques des planètes intérieures dans le plan de l’écliptique au 15 décembre 2025
    Positions héliocentriques des planètes intérieures dans le plan de l’écliptique au 15 décembre 2025. Crédits LTE
    Positions héliocentriques des planètes extérieures dans le plan de l’écliptique au 15 décembre 2025
    Positions héliocentriques des planètes extérieures dans le plan de l’écliptique au 15 décembre 2025. Crédits LTE